王磊、胡建华|基于KANO模型的本科高校教学管理学生需求分析——“以学生为中心”的视角

作者:发布时间:2025-05-09浏览次数:10

要:“以学生为中心”的本科高校教学管理坚持以学生发展为中心,深入推进实现学生主体价值、满足学生学习需要及关注学生学习效果;通过“三角互证”,研究将其概括为六个维度、29个要素指标,以江苏省内8所本科高校学生为对象,开展“本科高校教学管理学生需求”调查,利用KANO模型分析优化方法计算出相应指标的Better-Worse系数,并将指标分散在建立二维象限图中。基于此,提出解决当务之“急”、优先满足学生对教学管理的必备型需求,关注殷切之“盼”、重点改进学生对教学管理的期望型需求,纾解百结“难愁”、有针对性地优化学生对教学管理的魅力型需求等意见建议。

关键词:KANO模型;本科高校;教学管理;学生需求;以学生为中心

党的二十大报告指出,人民日益增长的美好生活需要和不平衡不充分的发展之间的矛盾,是制约当前我国社会进一步发展的关键因素。“从人民群众关心和满意的事情做起”“办好人民满意的教育”等国家战略,渐趋成为建设高等教育强国、培养拔尖创新人才强有力的驱动和支撑;全国教育大会更是强调“要坚持以人民为中心,让教育改革发展成果更多更公平惠及全体人民”。本科高校的首要职能是教书育人,“教-学”作为高校组织系统的“核心技术”,在实践过程中通过发挥有效衔接和重要纽带作用,最终目的在于实现学生发展与成才;学生作为现代大学存续和发展的主体,是保证高校育人功能得以实现的主体性资源,在锚定教育强国建设目标下,本科高校需要怎样对“以学生为中心”教学管理进行更深层次的探索和创新,才能成就为学生发展铺路、为学生学习搭桥、为学生成长护航的美好愿景?

一、“以学生为中心”:本科高校教学管理的内涵

从卡尔·罗杰斯Carl Rogers)最早提出“以学生为中心”Student-Centered, SC),这一理念就深刻影响了全球的高等教育变革,教育决策者应该把学生视为改革的主要参与者、并将其需要作为改革关注的重点,不仅局限在学生学习、教师教学等局部活动,而且应该成为整个学校体系支持的“新的教学范式转型”。“以学生为中心”是一种将学生置于主体地位、关注学生体验的教育思想,它重视学习需求,既不需要降低学习难度来卑躬屈膝地满足学生的要求,也不意味着学生与教师在角色、身份与地位方面存在“主次”差别。由此产生的教学行为是对“学习者中心”的定位承认、让学生对学习负首要责任,“教师可以为他们搭建‘舞台’,‘排练’时帮助他们解决问题,但是只能由学生去‘表演’,当学生真正学习的时候,应该接受赞美”。

关于“以学生为中心”高校教学管理改革的国内文献最早出现在1994年,本科高校培养的“人”就是学生,受“以人为本”政策术语的广泛影响,由此“以人为本”或“以(学)生为本”高校教学管理的相关文献571篇,2024年8月31日,中国知网)层出不穷,数量远远大于“以学生为中心”高校教学管理的文献数117篇,2024年8月31日,中国知网),其强调“学生自主学习、能力培养”,“尊重学生主体地位、保证学生学习自由”,“注重学生成分和需求多样化”,可视作对“以学生为中心”高校教学管理研究的基础和扩展。当前“以学生为中心”的本科教学改革研究是对欧SC改革的“深化认识”,更是本土实践。但是,以学生为中心的“教学”“教学管理”抑或“教学改革”等研究主题相互交织、内容芳泽杂糅,教学管理问题研究无法突显;同时,研究者所占据的不同视角,或对教学、教学管理等要素概念的不同界定,也导致“本科高校教学管理学生需求”研究的悬置或搁置。

学习和发展是以“人”为载体的,了解学生的学习和发展需求是本科高校教学管理的首要内容。“以学生为中心”的教学管理是指本科高校坚持以学生发展为中心,聚焦学生主体价值的目标导向、学生多元学习需求的问题导向、学生真实学习的效果导向,深入推进实现学生主体价值、满足学生学习需要及关注学生学习效果的教育教学改革活动。因此,教学管理活动作为高校组织系统中技术层、管理层和制度层的“关系交汇”,在教学方式、管理方式、评价方式、课程设置方式等方面,关注学生发展、学生学习及其效果方面的需求,是高等教育普及化背景下促进学生个体发展、保障与支持高等教育高质量发展的需要,对于实现学生的有效学习,提升学生对于教学管理的满意度尤为重要。

二、KANO模型及其对本科高校教学管理学生需求分析的可行性

在本科高校教学管理与服务中,为将学生发展所需要的多元学习、真实学习等“以学生为中心”的诉求进行更加精准地分类与排序,保证用有限的教学资源解决学生最重要、最紧迫的需求,提升教育教学质量和人才培养水平,故借KANO模型对本科高校教学管理学生需求进行分析。

(一)KANO模型分析方法

赫茨伯格“双因素”理论产生了著名的“满意度的对立面并不是不满意而是没有满意,不满意的对立面并不是满意而是没有不满意”的结论,一定程度上颠覆了早期管理学认定的产品质量和顾客满意度之间的“一元线性关系”。受此启发,日本学者狩野纪昭Noriaki Kano)等通过开发问卷证实了产品质量和客户满意度的“双维度”关系,并构建了KANO模型将产品质量属性区分为五种:魅力质量Attractive Quality),这些因素如果实现会增加顾客满意度,但如果缺少则不会引起不满意,其具备程度与满意度呈正相关,但缺乏时却被认为“可以接受”;期望质量One-Dimensional Quality),这些因素满足或超过了导致满意,没有满足则会导致不满意,其具备程度与满意度呈正相关,但缺乏程度高时,会造成顾客不满意;必备质量(Must-Be Quality),这些要素不满足会引起顾客不满意,如果满足或超过了也不会导致顾客更高的满意度,其具备程度高时顾客认为“理所当然”,但缺乏时会导致满意度下降;除此之外,顾客满意度的质量属性因素还有“可有可无”、对满意度无影响的无差异质量要素Indifferent Quality),和“适得其反”、增加反而会降低用户满意度的反向质量要素Reverse Quality)。这一分析模型可以更好地识别出对顾客满意度影响最大的产品质量属性,让决策者更好地确定管理服务的“优先”事项,特别是在计划、运行等环节缺乏充分技术和资金支持的情况下,最大程度地提升顾客满意度。

KANO模型通过问卷评价矩阵对相关要素进行归类,对于每个产品的特性都有一对正反向问题,即某一产品的功能存在或不存在时受访者可能会有的真实反应;通过受访者对某一要素的正反向问题的回答,可以对要素进行归类、标记,“魅力质量”要素标记为“A”“期望质量”要素标记为“O”,“必备质量”要素标记为“M”“无差异质量”要素标记为“I”,“反向质量”要素标记为“R”;如果某一要素存在和不存在,受访者都选择“我喜欢”或都选择“我不喜欢”,就表示为“受质疑的”回答,标记“Q”。

(二)KANO模型分析方法优化

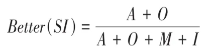
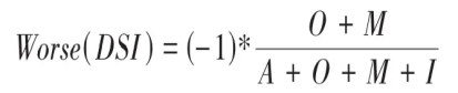
传统KANO模型问卷分析中,通常以受访者对某项服务需求的质量要素最大计数作为其需求属性归类;如若仅以“最大计数”来进行KANO模型需求属性归类,不但会忽略其他属性的分布状态,也很难精确地体现出某项服务的“存在”或“不存在”能够在多大程度上影响受访者的满意程度。为了避免将问卷答案过于“简化”处理Charles Berger保留了关于“魅力质量”“期望质量”“必备质量”要素作为属性的扩散影响,来计算和确定服务在具备以后满意度的上升程度(“如果我们更好……”,即Better)、消除以后不满意度的上升程度(“如果我们更糟……”,即Worse),并通过Better-Worse系数指标量化KANO模型结构进行优化。

增加后的满意系数计算公式如下:

 

消除后的不满意系数计算公式如下:

 

把各个字母对应的百分比放进去进行计算,每一个需求要素均得到两个系数,将计算得出对应Better-Worse系数建立二维象限,确立功能的影响程度究竟有多大,形成定性的KANO用户满意度模型结构。

Better系数作为纵坐标,以Worse系数的绝对值作为横坐标,以两系数的平均值作为原点绘制四象限图:第一象限中,相关要素的Better系数、Worse系数均高出平均数,说明该象限的属性要素提供时可以明显提升受访者满意度,不提供时明显提高了受访者的不满意度(降低了满意度),因此应归类为“期望型质量”需求(如A点);第二象限内,相关要素的Better系数高出平均数、Worse系数低于平均数,说明该象限的属性要素提供时可以明显提升受访者满意度,不提供时不会明显提高受访者的不满意度,应为“魅力型质量”需求(如B、C两点);第三象限内,相关要素的Better系数、Worse系数均低于平均数,说明该象限的属性要素提供时不会明显提升受访者满意度,不提供时也不明显提高受访者的不满意度,归纳为“无差别质量”需求(如D点);第四象限中,相关要素的Better系数低于平均数、Worse系数高出平均数,说明该象限的属性要素提供时不会明显提升受访者满意度,不提供时明显提高了受访者的不满意度,归纳为“必备型质量”需求(如E点)。目前对Better-Worse系数所确定需求的优先满足顺序规则大致为:必备需求→期望需求→魅力需求→无差异需求,国内研究的相关分析也证实这一观点,其对应的四象限图优先级为:第四象限>第一象限>第二象限>第三象限,进行优先性排序方法便于企业或管理者对自身产品或服务作出相应的决策。

卓越管理需要“确定客户需求结构和优先次序”,即客户的必备型需求必须满足、期望型要素需求使得产品具有竞争力,魅力型要素需求能够实现产品和服务脱颖而出;同时,因“反向质量”要素的满足会降低客户的满意度,故不予考虑对其投入,一定程度上可以减少资源的浪费。

(三)KANO模型对本科高校教学管理学生需求分析的可行性

首先,本科高校教学管理具有“服务”属性。新公共服务理论倡导政府行政的角色是“服务而非掌舵”,将公民置于中心位置,帮助公共组织更少受到权威和控制问题的支配,通过各方真诚开放的对话恢复公共官僚机构的活力;本科高校教学管理具有“服务”属性,原因在于高校教学管理最广泛、最重要的受众是学生,最根本、最本质的意义是促进学生发展,其制度设计、教学计划、教学运行、资源建设等均在于对“教-学”提供服务。

其次,本科高校教学管理的学生需求具有多样性。2022年,我国的2760所普通高等学校中共有3659万在校学生,相较2002年刚刚进入大众化阶段初期(1396所)普通高校数量增长近一倍,但是在校生平均规模由6471人上涨到13260人。规模如此庞大的受教育群体生活、学习在大学校园,学生群体由被动接受者转为主动消费者,具有“求学目的多元化”“学习行为自由化”等特点,如何在学生总体数量急剧增长的同时,满足学生个体的多元发展需要,以保障教育教学质量和人才培养质量,是高等教育发展的核心问题。

最后,提升学生满意度以满足其对教学管理的需求为基础。用户需求是使用方对于产品或服务的功能、特性等提出的要求和期望,对客户需求构成体系中具体要求进行准确理解是产品或服务付诸实施前的重要内容,通常包含识别、分类、排序和演化分析等关键步骤。KANO用户需求模型,根据需求急迫、重要程度等对学生需求的优先级进行排序,有利于教育管理者了解学生“急难愁盼”的相关问题,抓取最重要、最紧迫的需求,为改善和改进教学管理提供决策参考。

三、本科高校教学管理学生需求的KANO模型分析

(一)学生的潜在需求

为了确保学生对于本科高校教学管理提及的要素具有充分的理解和认知,本研究综合利用文献分析、深度访谈、质性研究和德尔菲专家咨询等方法,借助“教师视角”“学生视角”及“专家视角”等进行“以学生为中心”本科高校教学管理指标模型的三角互证,确定的“以学生为中心”的本科高校教学管理模型指标要素共计29个,相应从属于SC教学管理理念、SC教学管理制度、SC教学计划管理、SC教学运行管理、SC教学资源建设、SC教学质量管理等六个方面,同为本科高校教学管理KANO模型研究的学生潜在需求体系。

(二)本科高校教学管理学生需求问卷的分析与处理

根据已构建的潜在学生需求体系,对每一项“以学生为中心”的本科高校教学管理内容和要素,均设置二维属性的正、反向问题,来了解受访学生对此的态度。

江苏省作为我国高等教育的重要基地之一,其不同学科特色和办学层次的高校类型较为丰富,在一定程度上保证了样本的多样性,这些高校在教学管理模式、学生规模、地域分布等方面也存在较大差异,能够提供较为丰富的数据基础。选取其中“双一流”建设高校2所、非“双一流”建设高校4所、民办本科高校2所等共计8所高校进行调查,具有一定的代表性。共收集问卷1873份,其中有效问卷1796份。通过SPSS 26.0软件和问卷星在线工具对数据进行分析。

1.问卷数据信度、效度。针对Cronbach’s α系数,六个维度的正反向问题的信度系数最大值为0.933、最小值为0.835,问卷数据信度系数值较高。对问卷中问题利用“主成分极大方差旋转”的因子分析,正向问卷的KMO值为0.980、反向问卷为0.985,要求的Bartlett检验中,对应p值<0.05;旋转后累积方差解释率为均>50%,正、反向问题问卷结构效度均良好。

2.本科高校教学管理的学生需求分类。按照KANO模型分析优化方法,将“以学生为中心”本科高校教学管理的29项学生潜在需求内容的类型全部被统计出来,计算出相应指标的Better-Worse系数。问卷是基于成熟理论研究方法,对本科高校教学管理的学生需求和要素进行的划分,结果中的可疑属性“Q”(受质疑的答案)频数均在74次、占比均在4.12%以下,说明被调查对象对各个潜在需求要素评价时都进行了相对谨慎的思考。

三)KANO模型下的本科高校教学管理学生需求分类

坐标原点(x,y)中,x分别取Worse系数绝对值的平均值,y取Better系数平均值,同时,以Worse系数的绝对值为X轴、Better系数为Y轴作二维象限图。结果显示,学生对于本科高校教学管理需求的Better系数平均值远远大于Worse系数绝对值的平均数,这说明学生对于“以学生为中心”的本科高校教学管理的需求总体表现出相对较高的期待;四个象限内的不同要素类型,体现出高等教育普及化时代学生对于本科高校教学管理的个性化需求,为我们提高本科高校教学管理决策的科学性提供了依据。因此,29个本科高校教学管理的学生潜在需求要素被分在以下四个不同的象限内。

第一象限:期望型属性需求,包含“2.2选课制度”“2.3学分制”“3.1人才培养方案”“3.3柔性管理”“4.1实践教学”“6.1学习评价”6个要素。

第二象限:魅力型属性需求,包括“1.4学生发展理念”“1.5学生学习理念”“2.6激励机制”“3.2课程计划制定”“3.4课程内容设置”“4.4学习资源支持”“5.3管理队伍建设”“5.4课程内容建设”“5.5实践教学平台”9个要素。

第三象限:无差别属性需求,包含“2.4转专业制度”“2.5弹性学制”“4.2课堂管理”“4.3教室管理”“4.5学习服务机构”“5.2教学队伍建设”“6.2学生评教”“6.3学生参与”“6.4教学评价”9个要素。

第四象限:必备型属性需求,包含“1.1人才培养理念”“1.2教学改革理念”“1.3课堂教学理念”“2.1本科生导师制”“5.1课程资源建设”5个要素。

按照第四象限>第一象限>第二象限>第三象限的优先级进行排序,“以学生为中心”的本科高校教学管理改进的重点依次是:必备型需求(5)→期望型需求(6)→魅力型需求(9)→无差异需求(9)。

四、“以学生为中心”本科高校教学管理的改进策略

2024年全国教育工作会议提出,要加快建设高质量教育体系,需要持续践行以人民为中心的发展理念,不断破解人民群众“急难愁盼”教育问题,借助KANO模型的需求分类结果,“以学生为中心”的本科高校教学管理应进行如下改进。

(一)解决当务之“急”:优先满足学生对于教学管理的必备型需求

按照“必备型质量”的内涵,当这一产品或服务提供时,客户对此满意度上升不大,关注度趋于中等,表现为“理应如此”“无所谓”“能忍受”;但若不提供,满意度的降幅很大,该类需求对应一些迫切需要解决的产品或服务问题时,客户评价的“主观性较强且情感色彩浓烈”。因此,被划分在本科高校教学管理学生需求体系第四象限中的5项要素,Better系数均低于平均值,而其Worse系数的绝对值却高于绝对值的平均值,属于“当务之急”,应该优先被本科高校管理者重视起来。

1.树立“以学生为中心”的教学改革、人才培养及课堂教学理念。“1.2教学改革理念”“1.1人才培养理念”“1.3课堂教学理念”三项“SC教学管理理念”要素均属于学生的“必备”需求。本科高校教育教学改革的开展,旨在鼓励学生做出自身学习和自我发展的“理性选择”,目的是出于对学生选择权利的尊重。“以学生为中心”的本科高校教学管理,坚持以学生学习和发展为中心,突出学生的主体地位,尊重学生选择权利和发展需要的教学改革理念是本科高校教学管理中最为优先被重视的需要和要素。

同时,人才培养是高校最重要职责和使命之一,课堂教学是人才培养的主阵地。教师或学生之所以成为一种社会性角色,本质上大学提供了特定时空场景和关系语境,传统教学上的极具压迫性的“营养师模式”大大扼杀了师生在教和学上的创造力,不利于实现更高标准的人的发展,协调好高校内部管理、教学及学习等主体之间的观念差异,构筑对话式教学管理与服务,从以“教”为主向以“学”为主转变的课堂教学理念,关注学生学习效果,真正遵循“以学生为中心”的人才培养和课堂教学理念,成为支持学生学习和学生发展的关键要素。

2.完善事关学生学习效果的本科生导师制度。“2.1本科生导师制”属于“SC教学管理制度”中需要优先关注的学生需求。本科生导师制是高校专业教师负责对一定数量的本科生进行学习、研究及发展方面进行指导的制度,这种相对固定的师生关系,扩展了学生与专业教师的互动渠道,可以最为直接地解决学生的学习需求或疑难问题,为其在整个大学生涯期间的学习方法、课程选择、科研训练、学科竞赛及职业规划等方面提供最为全面的指导和建议,他们与学生生活关联度高、对学生发展的影响性大。落实本科生导师制,为学生选派导师,通过定期开展多种形式的研讨、交流,真正起到督促、关心学生学习的效果,应该引起高校的高度关注。

3.重视具备“两性一度”标准的课程资源建设。“5.1课程资源建设”是“SC教学资源建设”中学生优先关注的必备需求。加大加强本科高校课程资源建设,需要考虑数量和质量问题。高校在校生数量的不断增加,学生对于学习需求渐趋多元,要求高校的教学管理方面要增加投入、增强弹性,不断制造学生自主学习的空间。同时,大学教学的“牛顿第一定律”是适度挑战学生才能迫使他们进入学习状态,对于那些成绩比较优秀的学生来说,传统的教学课程已经渐渐让他们略显“不耐烦”了,特别是课程设置中或多或少的“水课”更是让学生难以提起学习兴趣……因此,通过增加跨学院(专业)选修课程数量、设置有一定学习难度的“荣誉课程”或“金课”、配置优质网络学习资源等,成为学生对增加课程投入度、提升学习能力、实现全面发展的重要诉求。

(二)关注殷切之“盼”:重点改进学生对于教学管理的期望型需求

“期望型质量”的定义来源于产品或服务提供与满意度之间的一元线性关系,即两者之间存在正相关关系:当这一产品或服务提供时,客户对此满意度上升;但若不提供,满意度的下降,该类需求的用户关注度和感情值都比较高。因此,被划分在本科高校教学管理学生需求体系第一象限中的6项要素,其Better系数和Worse系数的绝对值均高于平均值,应该优先作为本科高校提升教学管理与服务“竞争力”重要内容。

1.积极建构促进学生自主学习的教学管理制度。学分制作为“高影响力教学实践的第一要素”,是促进学生自主学习的重要教学管理制度,它以选课为核心、教师指导为辅助、通过绩点与学分衡量学生学习质与量,因此,“2.2选课制度”和“2.3学分制”成为“SC教学管理制度”中直接提升学生满意程度的首要需求。

学生在校学习是以课程学习为载体的,选课制度的安排一定程度上决定了学生学习时间安排。当前高校课程计划刚性太强、柔性不足,限制了本科高校学生自由选择的空间,虽然本科高校也在试点“走班制”“双向选课制”,但是现行的班级授课制所带来的效率优势依然存在,因此,建立允许学生选课时在一定范围内选择任课教师或课程学习时间,自主、灵活地安排学习进程的自主选课制度,可以更好地丰富大学生的参与体验。学分制是以选课制为基础,将学分作为学习的计量单位完成毕业和获得学位要求依据的教学管理制度;完全学分制旨在通过完全由学生自主选择课程、任课教师及上课时间,更好地进行学习规划。我国主要是采用集学年制和学分制特征为一体的学年学分制,这种制度对于学生完成的课程任务都给予规定的学分,但是只能在学校规定的修业年限内毕业;由于教学管理方式仍然以自然班级为教学单位,故本质上“学年学分制仍然属于学年制”。学分制具有尊重学生基础、兴趣、就业取向等方面的差异,鼓励学生个性发展、严格学习结果管理等特点,但是由于学年制和培养方案的最低毕业设置,其优势并没有发挥出来,甚至于“真实”必修课程比例过高、选修课程比例不足相对减弱了学生对于学校的兴趣和主动性。学生对于学分是“精打细算”的,落实学分制要求,通过降低必修课程比例、加大选修课比例等适应学生学习兴趣,满足学生个性发展的需求,调动学习主动性是提升学生学习预期和效能感的重要内容。

2.注重促进学生个体成长的教学计划管理与服务。学生对于“SC教学计划管理”中“3.1人才培养方案”和“3.3柔性管理”的期望,体现出了对个体成长的强烈诉求。

一方面,教学计划是学校保证教学质量和人才培养规格的重要遵循,是组织教学过程、安排教学任务、确定教学编制的基本依据,其管理内容包括培养目标、要求的确定,课程性质、类型、学时的设置等,其中,人才培养方案是学生最能切身感受和体悟到的教学计划管理内容,教室安排、实习计划、课程考核、任课教师等内容,都与学生学习和发展密切相关。在保证人才培养基本要求的前提下,让人才培养体系能够更加灵活,应通过模块化课程设计、多种学习内容选择的“菜单式”培养方案,给学生充分的自由根据个人兴趣和职业发展规划确定自我发展路径,提升学生对于教学管理的满意度。

另一方面,教学计划管理中弹性不足,很多课程计划都是“必修”的选修课。高校是以学科为基本的学术架构的,内在的学术规训和科层管理“痕迹”过于明显,由此衍生的专业教学相对忽略了学生个人禀赋和学习能力的差异性,更有多数情况是,很多高校会在学生选课后考虑开课成本,停开选课人数较少的教学班。缺乏柔性的教学管理,并没有按照学生的选择意愿实现按需开课,降低了学生对于本科高校教学管理的满意度。因此,应适当增加教学计划管理的柔性,探索本科高年级阶段人才培养方向多样化模式,为学生提供依据学习兴趣、目标等自由选择专业发展方向和课程计划的机会。

3.切实加强对学生经验学习的投入和评价。重点改进学生对“SC教学运行管理”中“4.1实践教学”和SC教学评价管理中“6.1学习评价”的需求,需要切实加强对学生经验学习的投入和评价。一方面,实习日益成为重要的经验学习,在专业人员的指导、监督下,学生可以获得真实工作场所的直接经验,通过发展职业爱好完成研究项目或发表论文获得学分;改进实践、实习教学环节,进一步为学生提供更多在不同职业场景实践学习的经验,缩短抽象的课堂理论与现实工作世界之间的差距,需要充分识别学生、用人单位和社会各界的需求和期望,满足符合学生切身利益的发展需要。另一方面,学生的学习结果是经过一段时间的学习后,人们期望学生学到的和学生实际学到的东西,美国教育评价标准联合委员会JCSEE)将知识与理解(认知)、实际技能、态度与价值观(情感)及个体行为等方面的发展及表现均认为是学生的学习结果。首先,当前的课程考核、学业评价等通常以闭卷考试的分数来评测学生的学习结果,难以将学生学习的动态过程和最新进展进行及时的反馈;其次,作为学习主体的学生,通常无法参与评价标准的建构或结果的产生,无法让学习评价对学生的学习和发展起到激励和改进作用;最后,课堂学习中重管理纪律、轻实际效果,课堂外的专业实践课程评价流于形式,团队合作、社会活动参与等多元非智力因素的评价没有受到重视。这样的学习评价现状和问题,引发了本科高校学生对于教学管理与服务的满意度不高,相反,更加注重全面的学生学习评价,收集、整理学生的课程作业、研究报告、小组汇报等过程性学习材料,将会对学生的认知、情感、价值观等进行综合评价,更加科学地衡量学生的发展和进步,提升学生对于学校、学习的认可和满意度。

(三)纾解百结“难愁”:有针对性地优化学生对教学管理的魅力型需求

魅力型要素需求得到满足时,可以大幅提高顾客的满意度,但是没有得到满足,顾客的满意度也不会降低。顾客较少关注此需求的满足状态,此类需求得到满足后,用户情感值会有显著上升,情感色彩十分强烈。因此,被划分在本科高校教学管理学生需求体系第一象限中的9项要素,其Better系数均高于平均值,而其Worse系数的绝对值却低于绝对值的平均值,能够被实现的难度之大早已被学生理解,故可作为本科高校提升教学管理与服务的特色内容。

1.优化学生对于教学资源建设的需求。“5.3管理队伍建设”“5.5实践教学平台”“5.4课程内容建设”等属于SC教学资源建设中,最能给学生提供“惊喜”三项要素,当它们没有被提供时,学生们的感受是“理应如此”“无所谓”“我能忍受”,而这些要素被提供的时候,学生的情感值会有非常大的变化,满意度会得到极大提升。“SC教学资源建设”中,既要建设一支真正有意愿创造条件、营造氛围支持激励教师进行服务于学生学习和发展教学改革的教学管理队伍;又要充分识别学生、用人单位和社会的需求和期望,搭建为学生认识实习、岗位实习等实践教学环节服务的管理平台,为学生的全面发展和成长成才提供保障。同时,保留经典、充实、适应时代发展的课程内容,编撰和精选能够对学生科学研究与实践能力、创新思维与能力培养有益的课程内容,推动让学生在学习意识和技巧上均有所收获的课程内容建设。

2.改进关于学生发展和学生学习的理念。“SC教学资源建设”应该与“1.4学生发展理念”“1.5学生学习理念”的“SC教学管理理念”相结合,坚持促进学生全面发展的理念,突出学生的主体地位,关注学生兴趣、关爱学生成长,注重学生特长发挥,将学生的全面发展作为教学管理活动的出发点和落脚点;重视满足学生多元学习需求的理念,及时了解学生的学习愿望与诉求,提高学生对教学管理与服务的满意度。

3.致力于学生对教学管理其他魅力型需求的解决。重视建立健全学生学习的激励机制。在大部分高校,学习者“晋升”的制度路径较为狭窄,学生对于“2.6激励机制”的诉求,需要在教学管理中综合利用学历提升(保送研究生)、专业深造、奖学金申请、学科竞赛、就业入职等学习激励机制,鼓励学生自设学习目标、树立学习理想,获取良好的学习状态。

“SC教学计划管理”中,以学生发展为中心,充分调研行业、社会关于学生培养的需求,保证课程学习效果,允许高年级学生、专业教师等代表广泛参与到课程计划的制定;在课程内容设置上充分考虑学生的就业需求,加强课程理论与产业、职业等实际的联系,将操作能力、就业能力的培养融入课程教学计划,使课程更加贴近未来职业和就业市场的需要。

“SC教学运行管理”中,为学生提供更加周到的服务学习资源支持,提供充足场地和时间支持,保证教室、图书馆、自习室、学生社区等适时开放等要素也可以为学生学习和发展提供更具魅力的管理服务。

(四)相对但不绝对不重要的教学管理要素:无差别需求

无差别需求有没有提供,对于用户的满意度和不满意度都没有明显的影响。顾客对此类要素属性,关注度相对较低、情感色彩不够强烈。因此,被划分为本科高校教学管理学生需求体系在第三象限中9项要素,这些要素的Better系数、Worse系数的绝对值均低于平均值,应该将其作为本科高校提升教学管理与服务“无差别”的内容,但“未来也有可能向其他层次的需求转化”,又有可能是其他层次需求转化而来的。教学运行中的教室管理、学习服务机构、课堂管理,以及教学资源建设中的教师队伍建设等四项可能因过于“基础”或者高校已经建设得比较完善,属于对学生满意度没有太大影响的要素;教学制度建设中的转专业制度和弹性学制,因受众较少,也未受到很大关注;教学质量管理中学生评教和教学评价,作为学校管理者为主体的实施环节,也未吸引本科高校学生的注意力,均对当前学生的满意度和不满意度没有太大的影响。

“林无静树,川无停流。”客户满意度的质量属性是具有生命周期的,受访者对于管理和服务的需求也是不断变化的,魅力型需求不断被挖掘后会逐渐向期望型需求转变,甚至曾经对受访者满意度有巨大影响的要素也会被忽略,变成无差异属性需求。因此,区别于精英化和大众化时期,普及化时代的本科高校教学管理,利KANO模型关注“以学生为中心”的需求类型,了解学生对于本科高校教学管理要素的“急”(必备需求)、“难愁”(魅力需求)、“盼”(期望需求)等问题,是实现建设教育强国目标、提升本科高校人才培养质量的重要环节。

(王磊,南京师范大学教育科学学院博士研究生,江苏警官学院教务处副研究员;胡建华,南京师范大学教育科学学院教授)

来源:《中国高教研究》